Please ensure Javascript is enabled for purposes of website accessibility 主權債務:已發展市場承壓 | BNY投資管理
hk
zh
institutional
institutional
false
true
Gathering data
Disclaimer Not Available

主權債務:已發展市場承壓

主權債務:已發展市場承壓

已發展經濟體正面對歷史高位的主權債務水平。十年前,在利率處於歷史低位,加上量化寬鬆(QE)帶來充裕需求的情況下,債務可持續性並未構成重大關注。然而,近期的通脹衝擊、利率上升、量化緊縮,以及推動擴張性財政政策的政治與經濟壓力,再次引發市場對財政可持續性及其對投資者影響的關注。

儘管我們暫未看到短期內出現財政衝擊的明確催化因素,但對於債務動態不可持續、且政治上缺乏調整意願的國家,其主權債券市場的風險溢價可能會逐步累積。

高企的債務負擔與持續的財政壓力

在人工智能基建投資、國防現代化,以及關鍵供應鏈回流等戰略重點推動下,已發展市場政府預期將繼續維持擴張性的財政立場。

美國

預計《大而美法案》(OBBBA) 將在未來十年間為美國國債增加4.1萬億美元,使債務佔GDP比率由100%升至超過125%。現行關稅政策在考慮替代效應後,預計未來十年可帶來約2萬億美元收入,但僅能部分抵銷預期中的財政赤字。

然而,該稅改法案中相當一部分條款在設計上具有臨時性,這將引發一系列「財政懸崖」,迫使立法者在延長關鍵條款或任其到期之間作出選擇。歷史上,財政政策通常具有逆周期特徵(經濟下行時放鬆),政府介入以提振總需求。但我們觀察到,自《減稅與就業法案》(TCJA)通過前後,財政政策已趨向順周期(在 GDP 高增長時期反而增加政府支出)。隨着財政懸崖臨近,順周期的財政立場可能進一步加劇債務上升軌跡。

美國財政政策與失業率

美國財政政策與失業率

日本

日本的債務佔GDP比率為全球最高之一,超過200%。數十年來,這一債務結構一直與低利率環境並存。然而,日本央行(BOJ)於2024年年底實施量化緊縮,實質上扭轉了其大規模買債計劃的方向,而該計劃曾一度佔未償還政府債務的近一半。

日本央行持有的日本政府債券(JGB)規模及10年期日本政府債券孳息率

日本央行於2024年年底開始逐步減少買債規模,實質上扭轉了此前大規模買債計劃的方向。

日本央行持有的日本政府債券(JGB)規模及10年期日本政府債券孳息率

隨着日本央行需求趨於平台期,吸納新增日本政府債券發行的壓力正日益轉移至大型本地機構及海外投資者,尤其集中於孳息率曲線的長端。在總融資需求超過GDP 30%的情況下,日本政府債券市場同時面臨流動性及可持續性風險,從而引發兩個核心問題。

首先,在日本央行推進政策正常化的過程中,誰將承接淨供給的增加?歷史上,退休基金及人壽保險公司通常是吸納超額發行的主要力量。儘管這些傳統買家目前仍持有約18%的未償還日本政府債券,但其角色隨時間推移已明顯減弱,主要受到本地改革影響。如今,來自央行及本地機構的需求同步下降,意味著供應過剩,或導致債券價格下跌及孳息率上升。

第二個問題是,高企的債務水平將如何與更高的融資成本並存?在過去相當長一段時間內,日本在高債務佔GDP比率的情況下並未出現明顯後果,主要因日本央行透過收益率曲線控制,將利率維持於歷史低位。然而,日本央行縮減買債規模,顯示其暫時已放棄收益率曲線控制。

與此同時,作為傳統上用以管理債務佔GDP比率的重要工具,財政政策目前或難以發揮同等效力,原因在於新任首相在財政立場上偏向寬鬆。日本的補充預算顯示,新增支出方案接近18萬億日圓(約1,160億美元),較上一年度增加約4萬億日圓。為穩定債務負擔,日本最終可能需要由生產率提升所推動的更強勁GDP增長。持續的大規模財政刺激或經濟增長停滯,最終可能在收益率曲線長端形成結構性溢價,從而推高市場波動並令收益率曲線進一步陡峭化。

總融資需求

佔GDP百分比

日本及美國在債券需求可能趨於枯竭方面尤為突出,其總融資需求均超過GDP的30%,風險相對較高。

日本及美國在債券需求可能趨於枯竭方面尤為突出,其總融資需求均超過GDP的30%,風險相對較高。

英國

英國同樣面臨久期需求轉弱的背景。作為長期英國國債(gilts)核心買家的確定給付型退休金計劃,其市場持有比例已下降。儘管這些機構仍屬重要買家,但其需求未能追上國債發行的增速,而隨着英國債務佔GDP比率上升,國債發行規模持續擴大。與此同時,不少退休金計劃目前處於盈餘狀態,並受到政府鼓勵,將多餘資產投向以增長為導向的項目。

確定供款型退休金計劃的增加,或難以彌補需求下滑,因其投資組合通常更偏向增長型資產。英國預算責任辦公室(OBR)預測,到2070年代初,退休金行業持有的英國國債佔GDP比重或將減少一半以上。保險買斷交易亦進一步推動資金由國債轉向其他資產。

英國國債持有量預測

佔GDP百分比

英國預算責任辦公室預測,到2070年代初,退休金行業持有的英國國債佔GDP比重或將減少一半以上。

英國國債持有量預測

歐洲(不包括英國)

2025年3月,德國政府批准一項憲法修正案,將佔GDP超過1%的國防開支豁免於借貸限制,並設立規模達5,000億歐元的預算外基金,用於基建及氣候相關投資。此舉標誌着柏林在憲法層面的「債務煞車」出現顯著放寬,其規模超越二戰後的馬歇爾計劃及1990年代的德國統一刺激方案。債務佔GDP比率上升的影響,在很大程度上取決於資源是否被有效配置至提升生產力的項目。根據惠譽評級預測,德國的債務佔GDP比率將由2024年的64%升至2027年接近70%,對其AAA信貸評級構成考驗。(AAA級別的債務佔GDP比率中位數目前為36.5%)

德國財政刺激的歷史對比

佔GDP百分比

德國財政刺激的歷史對比

冷戰結束後,歐洲在美國安全保護傘下,透過壓低國防開支,同時依賴廉價的俄羅斯能源及進入中國市場來維持財政空間的模式,已被地緣政治徹底顛覆。北約提出的國防開支目標(到2035年達到GDP的5%)預期將顯著推高成員國的財政支出。

經濟增長放緩與利息成本上升擠壓政府財政空間

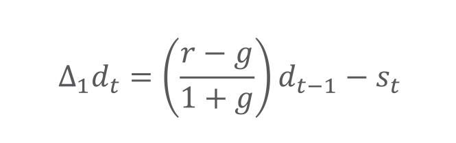
為理解主權債務的演變軌跡,我們提出一個公式,將政府債務變化(d)與債務成本(r)、名義經濟增長率(g)及初級財政盈餘(s)聯繫起來。

主權債務演變軌跡公式

如前所述,政府可透過以下一種或多種方式來控制債務佔GDP比率的上升:

透過具公信力地降低利率或實施金融抑制策略,以控制債務成本(r);

透過通脹或更高的實質經濟增長,提高名義GDP增速(g);

透過提高初級財政盈餘或縮小初級財政赤字(s),收緊財政政策。

債務成本與經濟增長之間的差值(即 r-g 缺口)在很大程度上反映一國財政政策的可持續性;尤其當一國處於財政赤字狀態時——而這正是目前多數已發展市場的情況——這一指標的影響更為顯著。當利率低於經濟增長,即 r < g 時,即使一國存在初級財政赤字,亦可透過更快的經濟增長來抵消債務負擔上升的壓力。當債務成本高於經濟增長,即 r > g 時,在既定的初級財政赤字水平下,由於利息成本上升,一國的債務負擔將無可避免地持續上升。

目前,主要經濟體的 r-g 差值仍然有利(即 r < g),因此仍有空間維持初級財政赤字。然而,根據國際貨幣基金組織(IMF)的預測,除英國外,利息成本優勢預計將收窄,而初級財政收支狀況預計將進一步惡化。隨著 r-g 差值縮小,財政“清算/清帳”的風險將上升,尤其是對那些削減支出或增加收入(通過資產變現)的靈活性有限的經濟體而言。

未來五年利率—增長差值預測

r-g 差值仍為負(即仍有空間維持初級財政赤字);但預期將收窄。

未來五年利率—增長差值預測

初級財政收支結餘
佔GDP百分比

除英國外,初級財政收支結餘預期將進一步惡化。

初級財政收支結餘

政策的兩大抓手

我們認為,一國在管理其主權債務負擔的可持續性方面,現實中主要有兩項抓手。第一項,是透過削減赤字推動公共部門逐步去槓桿(即提高 s),並配合相關政策,透過提升生產率或在可控範圍內再加杠杆來帶動私人部門增長。這被認為是提高 g 的較為穩健、符合經濟邏輯的方式。

第二項更直接、但風險亦較高的方法,是透過人為壓低利率(即降低 r)來管理高企的主權債務,可能需要借助金融抑制策略。這些策略可由要求本地機構與住戶「被動吸納」債務(例如以低於市場利率發行債務,或發行不可買賣的證券),到採用收益率曲線控制等非常規手段不等,而後者可能加深市場對貨幣被稀釋(貶值)的憂慮。

這些機制或可在短期內紓緩債務償付成本,但每種策略都伴隨不同的通脹風險與政策公信力成本。關鍵在於,若要在不削弱價格穩定的前提下降低債務負擔,通脹衝擊必須屬一次性,並需迅速回落至目標水平,同時通脹預期仍需保持穩固錨定。

對債券市場的影響

我們預期已發展市場的政策利率將逐步下調。與此同時,在能源基建的公共投資需求以及經濟回流的推動下,財政政策很可能仍會維持擴張性。然而,若缺乏清晰方向去平衡資本投放與債務可持續性,債券投資者或會要求更高的財政紀律——這將成為債券市場的潛在風險,可能令孳息率曲線長端維持高位,甚至進一步上升。

本文摘錄自我們 《2026 年資本市場前瞻:承壓之下的長期韌性》報告(僅提供英文版本)。
如欲進一步討論與深入分析,請參閱 完整報告(僅提供英文版本)

endurance-under-pressure-capital-market-assumptions-2026-report


過往表現並非未來結果的保證。

重要資訊

僅供機構投資者、合格投資者和專業投資者專用,禁止進一步分發。本文件為金融推廣資料,並非投資建議。除非另有說明,文中所載觀點與意見均屬投資經理公司之意見。投資價值可能下跌,投資人可能無法取回全部投資金額。BNY、BNY Mellon 和 Bank of New York Mellon 為 The Bank of New York Mellon Corporation 企業品牌名稱,亦可用以統稱該公司/或其多家子公司。BNY Investments 包括 BNY Mellon 附屬投資管理公司及其全球銷售公司。 文中提及之任何 BNY 成員機構最終隸屬於 The Bank of New York Mellon Corporation。在香港,本文件由紐約梅隆投資管理香港有限公司發行,該公司已在香港證券及期貨事務監察委員會註冊(中央編號:AQI762)。

GU-796 - 15 February 2027

相關內容
危機與復甦:歷史波幅中的市場規律與投資啟示
文章 | 宏觀經濟

市場衝擊是投資過程中難以避免的一部分。雖然市場波幅在當下往往令人不安,但歷史提供了一個重要的提醒:市場曾多次度過艱難時期,並且通常能在其後恢復並變得更為強韌。

美元:從「特權」走向「壓力」
文章 | 宏觀經濟

當今全球經濟的一大特徵,是一項明顯的失衡——美國長期且規模龐大的貿易赤字。市場預期美國經濟將持續保持強韌,這既令國內消費維持在較高水平,也吸引海外資金流入,正是造成這一失衡的主要原因。

關稅政策再現變數,關稅裁決或提振風險資產
文章 | 宏觀經濟

美國最高法院以6比3的投票結果作出裁決,認定根據《國際經濟緊急權力法》(IEEPA)徵收的關稅超出了總統的權力範圍。

美以伊衝突最新解讀:對全球市場影響有多大?
文章 | 宏觀經濟

近日,美國與以色列對伊朗發動的襲擊導致伊朗部分領導層成員身亡,這對地區政治局勢及全球能源價格穩定構成重大衝擊,因其可能引發較為顯著的供需失衡。

Gathering data
Disclaimer Not Available

聯絡我們  |  +852 3926 0600